
Exploreing the Fourth Dimension
For a long time, man has measured the universe in just three dimensions, long, high and wide. Through mathematical ingenuity we managed to demonstrate that we do not live in three dimensions and if in four, and we are here to show it to the world: "Tetrachron, the hidden dimension of time and space"


The Tetrachron Principle: Accumulation of Three-Dimensional Volumes in Four-Dimensional Space
Author: Cesar A. Valencia Z.
Affiliation: Independent Researcher
Abstract:
We introduce the Tetrachron Principle, a conceptual and mathematical framework that interprets the fourth dimension as the accumulation of three-dimensional volumes. While the measure-theoretic foundation relies on classical results such as the Fubini–Tonelli theorem, the originality of this work lies in its reinterpretation: every four-dimensional body can be visualized as a structured stacking of 3D layers. This principle provides a clear and pedagogical way to understand higher-dimensional geometry, bridging rigorous analysis with intuitive spatial reasoning. Examples and corollaries are presented, together with potential applications in mathematical physics, geometry, and higher-dimensional modeling.


1. Introduction and Motivation
In three-dimensional geometry, volumes are often constructed by accumulating areas, as in solids of revolution. By analogy, a four-dimensional body —the Tetrachron— should be understood as the accumulation of 3D volumes along a fourth coordinate.
The mathematics of product measures and multiple integration already guarantee this property. However, the novel contribution of this work is to establish it as a named and structured principle —the Tetrachron Principle— that organizes and visualizes the fourth dimension with the same clarity that Cavalieri’s principle once brought to volumes in the 17th century.


4. Formal Justification
The result follows from the product structure of Lebesgue measure and the Fubini–Tonelli theorem. The distinctive point here is not the technical proof, but rather the geometric interpretation: every 4D body can be conceived as a tower of 3D volumes, just as a solid body in 3D can be conceived as a stack of 2D areas.
6. Discussion
The Tetrachron Principle does not claim to introduce a new theorem in measure theory, but rather a new interpretative framework.
By giving a name and structure to this perspective, it provides a unifying way of understanding the fourth dimension.
Just as Cavalieri’s principle organized the visualization of volumes, the Tetrachron Principle organizes the visualization of tetravolumes.
Potential applications include higher-dimensional geometry, quantum field theory, fractal growth, and multi-scale modeling in physics and biology.
7. Conclusion
The Tetrachron Principle establishes a rigorous yet intuitive framework for four-dimensional measure: a 4D body is the accumulation of 3D volumes. While grounded in classical measure theory, its originality lies in its conceptual formulation, which opens new avenues for pedagogy, interdisciplinary exploration, and higher-dimensional geometric analysis.
















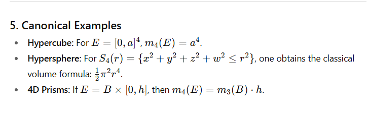
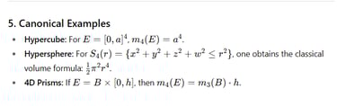
Hypersphere
Hypercube
4D Prisms
New dimension
Explore the geometry of the fourth dimension and discover a new understanding of time and space.
Space games
Playful interaction with mathematical concepts of the fourth dimension and how they affect your perception.
Advanced mathematics
Entiende la formulación matemática detrás del tetrachron y su impacto en nuestra visión del universo.
Learn and experience with the geometry of the fourth dimension through different aspects of the world around us
Creative exploration








Visualizes how the accumulation of a cube over time generates a new tetrahedric solid
Cubic-Tetrahedric accumulation


Hyperspheric accumulation
An accumulation where forces are the same in every direction ends up generating a tetradimensional sphere
When a three -dimensional solid is asymmetric, its tetradimensional accumulation due to the turn generated by the accommodation of a solid in another gives us a helical body
Helical accumulation


Tetrachron Gallery
Explore the geometry of the fourth dimension and its meaning.













Explore the geometry of the fourth dimension with us.


Dimensión
Exploreing geometry of fourth dimension.
Math
space
avcesar58@hotmail.com
© 2025. All rights reserved.